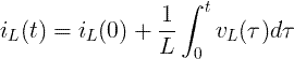
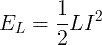
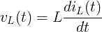
Inductor is an electrical component that stores energy in magnetic field.
The inductor is made of a coil of conducting wire.
In an electrical circuit schematics, the inductor marked with the letter L.
The inductance is measured in units of Henry [L].
Inductor reduce current in AC circuits and short circuit in DC circuits.
![]()
Inductor |
|
Iron core inductor |
|
Variable inductor |
|
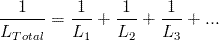
For several inductors in series the total equivalent inductance is:
LTotal = L1+L2+L3+...
For several inductors in parallel the total equivalent inductance is:
![]()
![]()

![]()
XL = ωL
Cartesian form:
ZL = jXL = jωL
Polar form:
ZL = XL∠90º