什么是电容器及电容器计算。
电容器是一种存储电荷的电子元件。 电容器由 2 个彼此靠近的导体(通常是极板)组成,中间由介电材料隔开。 当连接到电源时,极板会积累电荷。一个极板积累正电荷,另一个极板积累负电荷。
电容是指在 1 伏特电压下存储在电容器中的电荷量。
电容以法拉 (F) 为单位测量。
电容器在直流 (DC) 电路中阻断电流,在交流 (AC) 电路中导通电流。
![]()
电容器 |
||
极性电容器 |
||
可变电容器 |
电容器电容 (C) 等于电荷量 (Q) 除以电压 (V):
![]()
C 是以法拉 (F) 为单位的电容
Q 是以库仑 (C) 为单位存储在电容器上的电荷量
V 是以伏特 (V) 为单位的电容器极板间电压
平行板电容器的电容 (C) 等于介电常数 (ε) 乘以极板面积 (A) 除以极板间距 (d):
![]()
C 是以法拉 (F) 为单位的电容。
ε 是以法拉每米 (F/m) 为单位的电容器介电材料的介电常数。
A 是以平方米 (m2) 为单位的电容器极板面积。
d 是以米 (m) 为单位的电容器极板间距离。

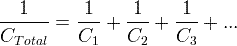
串联电容器 C1, C2, C3, ... 的总电容:
![]()

并联电容器 C1, C2, C3, ... 的总电容:
CTotal = C1+C2+C3+...
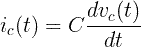
电容器的瞬时电流 ic(t) 等于电容器的电容值,
乘以电容器瞬时电压 vc(t) 的导数:
![]()
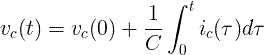
电容器的瞬时电压 vc(t) 等于电容器的初始电压,
加上 1/C 乘以电容器瞬时电流 ic(t) 对时间 t 的积分:

电容器存储的能量 EC 以焦耳 (J) 为单位,等于以法拉 (F) 为单位的电容 C
乘以以伏特 (V) 为单位的电容器电压 VC 的平方再除以 2:
EC = C × VC 2 / 2
ω = 2π f
ω - 以弧度每秒 (rad/s) 为单位的角速度
f - 以赫兹 (Hz) 为单位的频率。
![]()
直角坐标形式:
![]()
极坐标形式:
ZC = XC∟-90º
| 可变电容器 | 可变电容器具有可变的电容值 |
| 电解电容器 | 当需要大电容时使用电解电容器。大多数电解电容器是有极性的 |
| 球形电容器 | 球形电容器具有球形形状 |
| 电力电容器 | 电力电容器用于高压电力系统。 |
| 陶瓷电容器 | 陶瓷电容器具有陶瓷介电材料。具有高耐压特性。 |
| 钽电容器 | 使用氧化钽介电材料。具有高电容值 |
| 云母电容器 | 高精度电容器 |
| 纸介电容器 | 使用纸介电材料 |