RGB to HSV color conversion

Enter 6 digits hex code or enter red, green and blue color levels (0..255) and press the Convert button:

Enter RGB hex code (#):  
or    
Enter red color (R):
Enter green color (G):
Enter blue color (B):
   
Hue (H): °  
Saturation (S): %  
Value (V): %  
Color preview:  

HSV to RGB conversion ►

RGB to HSV conversion formula

The R,G,B values are divided by 255 to change the range from 0..255 to 0..1:

R' = R/255

G' = G/255

B' = B/255

Cmax = max(R', G', B')

Cmin = min(R', G', B')

Δ = Cmax - Cmin


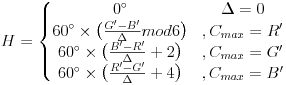
Hue calculation:


Saturation calculation:


Value calculation:

V = Cmax

RGB to HSV color table

Color Color

name

Hex (R,G,B) (H,S,V)
  Black #000000 (0,0,0) (0°,0%,0%)
  White #FFFFFF (255,255,255) (0°,0%,100%)
  Red #FF0000 (255,0,0) (0°,100%,100%)
  Lime #00FF00 (0,255,0) (120°,100%,100%)
  Blue #0000FF (0,0,255) (240°,100%,100%)
  Yellow #FFFF00 (255,255,0) (60°,100%,100%)
  Cyan #00FFFF (0,255,255) (180°,100%,100%)
  Magenta #FF00FF (255,0,255) (300°,100%,100%)
  Silver #BFBFBF (191,191,191) (0°,0%,75%)
  Gray #808080 (128,128,128) (0°,0%,50%)
  Maroon #800000 (128,0,0) (0°,100%,50%)
  Olive #808000 (128,128,0) (60°,100%,50%)
  Green #008000 (0,128,0) (120°,100%,50%)
  Purple #800080 (128,0,128) (300°,100%,50%)
  Teal #008080 (0,128,128) (180°,100%,50%)
  Navy #000080 (0,0,128) (240°,100%,50%)

HSV to RGB conversion ►



另见

可否帮我们改进此页面

COLOR CONVERSION
站点内容